北京佰司特科技有限责任公司

7

手机商铺

qrcode
商家活跃:
产品热度:
  • NaN
  • 0.5
  • 0.5
  • 1.5
  • 0.5

北京佰司特科技有限责任公司

入驻年限:7

  • 联系人:

    周先生

  • 所在地区:

    北京 朝阳区

  • 业务范围:

    试剂、耗材、实验室仪器 / 设备

  • 经营模式:

    代理商 生产厂商 经销商

在线沟通
推荐产品

技术资料/正文

芯片上的小肠:实时监测小肠类器官的跨膜电阻值

640 人阅读发布时间:2024-04-29 17:29

Tissue-on-a-Chip: Microphysiometry With Human 3D Models on Transwell Inserts
芯片上的小肠:实时监测小肠类器官的细胞层跨膜电阻值

 
Tissue-on-a-Chip: Microphysiometry With Human 3D Models on Transwell Inserts.
hristian Schmidt, Jan Markus, Helena Kandarova and Joachim Wiest.
Frontiers in Bioengineering and Biotechnology, August 2020.


微生理测量已被证明是用于监测活细胞能量代谢以及细胞间相互作用的有利工具,该技术之前主要用于监测二维的单分子细胞层。最近,我们的研究小组发现,微生理测量也可以自动检测皮肤类器官的产酸率(Extracellular acidification rate,EAR)和细胞层的跨膜电阻值(transepithelia lelectrical resistance,TEER),该培养物是培养在3D打印的封闭的生物芯片之中来维持气液界面(ALI)。在这项工作中,我们提出了一种优化的多通道芯片用于监测小肠类器官的TEER。实验持续1天,60分钟为重复周期,每个周期包括三个阶段:(1)维护气液界面(ALI);(2)加入测量培养基或者试验物;(3)清洗。初始平衡8小时后,加入细胞毒性和屏障破坏的化学物质(0.2%十二烷基硫酸钠),导致TEER随时间变化逐步降低,而以前传统的细胞毒性测量方法是无法监测到这种变化的。这项工作证实了使用自动气液界面(ALI)的多通道实时监测三维小肠类器官的TEER的可行性。培养的人体组织结合智能移动检测技术,为在体外诊断提供了一个非常有前景的研究工具,特别是在毒理学,细胞代谢研究,药物吸收等研究领域。
                                                                                                                
Keywords: microphysiometry, transepithelial electrical resistance, label-free monitoring, intestinal model, automated air–liquid interface

INTRODUCTION

尽管在药物开发的临床前阶段进行了完整的试验,但未发现的毒性依然是临床阶段失败的一个常见原因(Kola and Landis, 2004; Marx et al., 2016)。药物毒性的研究之中,重要的一点就是要考虑小肠的吸收效应。临床前体内评估通常依靠小鼠或大鼠模型来代表人类特征(Le Ferrec et al., 2001)。然而,啮齿动物模型不能完全可靠地预测药物对于人体的各个方面的效应,所以就可能出现对药物毒性或再吸收的错误评估。因此,近年来的研究重点已转移到改善体外毒性研究。

在体外研究可重复性和分离影响变量的能力(Ferrick et al., 2008),有助于更好地理解毒性机制。但是2D细胞培养和细胞系(Leonard et al., 2010; Ayehunie et al., 2018)有限的生理相关性和细胞培养实验中缺乏全自动分析的问题已经在之前的文献中讨论过(Gómez-Sjöberg et al., 2007; Meyvantsson et al., 2008; Li et al.,2013)。 3D细胞培养领域的最新进展解决了这些局限性,并提供了新的模型来增强对新药安全性和有效性的信心(Fang and Eglen, 2017; Park et al., 2018)。采用“组织芯片”方法,通过体外培养的组织和器官模型,来改进对吸收、分布、代谢和排泄(ADME)的评估(Madden et al., 2018)。

从结肠(大肠)癌中提取的Caco-2单层细胞是一种广泛应用于体外药物吸收和毒性评估的细胞系,它可以代表三个吸收途径:跨细胞(细胞内途径)、细胞间(细胞外途径)和载体转运。但是,细胞系和小肠组织的相关性有限。文献中(Shah et al., 2006)已经描述,它只能预测跨细胞(细胞内途径)渗透。此外,贴壁培养的单层Caco-2培细胞缺乏细胞-细胞和细胞-细胞外基质的相互作用,不能模拟人小肠的多层复杂结构。为了克服这种生理相关性的不足,科学家开发了新的三维重建人体组织模型(Li et al., 2013; Ayehunie et al., 2018)。在空气-液体界面(ALI)上培养三维小肠类器官模型,弥补了体外培养的2D的形态学缺陷(Nossol et al.,2011)。

使用体外组织培养进行药物效应分析的常用方法需要很多重复的组织样本,还有繁琐复杂的实验步骤。方法和测量的复杂性导致需要大量的人工以及细胞或组织相关的硬件设备,而这些又有可能导致细胞损伤,增加结果的误判(Blume et al., 2010)。

相对手动测试,实时自动分析细胞存活率是一种更优化的测量吸收和毒性的方案。此外,有了实时监测的数据,就可进行短期和长期的分析。对于长期的监测,自动化设备取代人工更换培养基和添加试剂,以提高实验的通量和重复性(Kempner and Felder, 2002)。总之,对细胞培养进行实时连续测量可以同时观察到多个细胞代谢参数,并且支持ALI培养的自动化微流控系统。我们在该研究中提出了这样的一个测试系统:组织芯片(tissue-on-a-chip)结合ALI培养细胞(图1)。通过生物芯片以及3D打印封闭的培养腔体成功培养了3D重建人类小肠类器官模型。
   在这项工作中,我们首次提出了一个三通道、全自动的组织芯片测量系统(IMOLA-IVD,德国cellasys),该系统可以测量细胞层跨膜电阻值(TEER),进一步深入了解上皮细胞层的组织形态和屏障特性。值得注意的是,与之前描述的单通道芯片系统相比,该系统在三个通道中都有一个自动的ALI,使用的细胞培养基更少(Alexander et al., 2018)。因此,现可以一次在三个的芯片上进行平行实验,例如:测试物,对照和空白。

MATERIALS AND METHODS

Human 3D Tissue Model

实验采用重建的三维肠组织—EpiIntestinal-FT。这个基于人体细胞的3D组织整合了肠上皮细胞、Paneth细胞、M细胞、簇细胞和小肠干细胞以及人小肠成纤维细胞,它被培养在ALI模拟生理条件之中。EpiIntestinal-FT模型可以用来表征小肠功能的不同方面,包括屏障功能、代谢、炎症和毒性反应(Ayehunie et al ., 2018)。

Microphysiometric System

德国cellasys公司的IMOLA-IVD是一个自动化微流控系统扩展的微生理测量系统(Brischwein和Wiest, 2019)。简单地说,就是生物芯片上装有两个交叉电极结构的电阻传感器、两个电化学的pH传感器、一个电流的测氧传感器和一个温度传感器。来自传感器的测量数据被数字化记录并传输到计算机上的专有软件—Data Acquisition and Link Application(DALiA)软件。该软件负责流体的数据的处理和流路的控制,使用一个定制化的开/关协议,以控制蠕动泵和微流控系统(双向交界处的阀门)。使用这些工具可以并行监控6通道IMOLA-IVDs同时获得实时数据进行对比分析,例如测试物和阴性/阳性对照通道。

为了更好地使用和维护IMOLA-IVD和ALI,Alexander et al(2018)开发了一种新的封闭的培养腔设计,用Ultimaker 3D打印机打印的聚交酯并粘在生物芯片上。有了这种封闭的培养腔,就可以产生两条不同的微流道:一条在培养腔顶端,一条是培养腔侧面。通过一根顶端金电极和一根侧面金电极传感器可以测量在Transwell半透膜小室上培养的三维组织的TEER。

芯片上的小肠:实时监测小肠类器官的跨膜电阻值
芯片上的小肠:实时监测小肠类器官的跨膜电阻值
芯片上的小肠:实时监测小肠类器官的跨膜电阻值

测量TEER的频率为10kHz,外加电压为30mv。结合密封腔的生物芯片和用于根尖线的射流头如图1所示。结合封装的生物芯片和流路通道,如图1所示。完整的设置如图2所示。IMOLA suppo系rt 统(ISS-3)包括为IMOLA系统、用于控制流路系统的阀门的开关,以及用于记录气泡探测器数据的电子设备等提供电源。

专利的DALiA客户端软件应用程序用于控制测量和记录的数据。泵、流路模块和细胞培养液等IMOLA系统都被安装在通用的细胞培养箱内,保证整个实验都在37◦C。三个通道中的每一个都有两条流路,一条是顶端,一条是侧面,如图3所示。两种流路都可用于将多种物质注射到细胞环境之中,如培养基和测试物。在这篇文章中,顶端流路可以引入两种不同的物质:基础培养基和测试物。在TEER测量过程中,在培养的组织的顶端加入LBM低缓冲培养基,从而在顶端和基底侧面(液体界面)之间建立一个导电连接。另外,顶端覆盖了一层薄薄的培养基(空气界面)(200nm)。基底侧面流路定期向培养的组织的基底外侧注入新的营养物质。在本研究中,流路系统的连接如图3所示。1号阀用于更换顶端培养基;2号阀负责插入的培养小室的顶端的填充或排空;3和4号阀门分别将顶端和基底侧面的培养基注入到生物芯片或废液瓶中,5和6号阀门交替切换到过滤的空气。一个IMOLA-IVD使用6个阀门和单向模式控制的4个泵通道。这里展示的装置使用三个IMOLA-IVD模块平行地研究三个培养小室(三个生物芯片,每个都有一个顶端和一个基底侧面)。

Assay Preparation for Verification

为验证流路系统的设置和测量,可以用磷酸缓冲液(PBS)做预实验。对于顶端和基底侧面,使用渗透压为300±10% mOsmol/kg的PBS溶液,通过顶端通道的试验物质为1000±10% mOsmol/kg的PBS溶液。

芯片上的小肠:实时监测小肠类器官的跨膜电阻值
芯片上的小肠:实时监测小肠类器官的跨膜电阻值
Assay Preparation for the EpiIntestinalTM Model

开始前,先将组织进行预培养以稳定状态。然后注入5 ml 基底侧面培养基 SMI-100-FT-MM (MatTek In Vitro Life Science Laboratories);顶端加入200 μl 的SMI-100-MM (MatTek In Vitro Life Science Laboratories) ;然后在 37◦C和5% CO2培养箱至少培养24 小时。实验前,对整个系统进行灭菌和培养液预灌流。所有管道和顶端通过2.5%的次氯酸(Sigma Aldrich, #71696, diluted with double-distilled H2O)消毒20分钟进行灭菌处理,生物芯片密封腔是通过浸润在70%乙醇20分钟进行灭菌处理。随后,基底侧面和顶端注入培养基,对管道进行预灌流处理。将整个系统和培养基放置在37◦C和5% CO2培养箱之中过夜。最后,将含有小肠组织的培养小室放置在经灭菌处理的生物芯片上。基底侧面流路使用SMI-100-FT-MM (MatTek In Vitro Life Science Laboratories)。顶端流路使用无缓冲DMEM (cellasys GmbH, Kronburg, Germany: SOP-G200-006; see supplement material) 和溶解在 DMEM之中的测试物。

最后使用浓度为0.2或2.0%的十二烷基硫酸钠(SDS)作为破坏3D小肠组织屏障的物质。在预先设定的灌流周期内,确定了两个流体通道的时间顺序。TEER测量周期包括:35分钟ALI,10分钟TEER测量和15分钟的清洗周期。第一个ALI周期用于流体系统的内部预灌流,将程序设定为每个循环为1小时,持续灌流24小时。第8小时,将顶端培养基更换为含0.2% SDS的培养基,循环一个周期,然后更换为不含SDS的培养基。

RESULTS

Verification of the Measurement Procedure and the Fluidic System


芯片上的小肠:实时监测小肠类器官的跨膜电阻值

每个TEER测量周期由测量阶段和冲洗阶段,循环程序的一致性可以确保整个监测期间的变化肯定是由待测物引起的。每次TEER测量开始时,培养小室的顶端为空的,慢慢填充相应的培养基。一旦达到足够体积,TEER电极被浸没在相应的培养基之中,并开始够测量电阻。使用PBS溶液进行系统验证的方法如图4。TEER的振幅的最终标准值是244Ω。随后加入测试物,电导率与PBS相比有所增高,电阻的振幅的准值下降到132Ω。重新注入PBS后稀释待测物,再吸出。如果没有第二次注入PBS,测试物将一直保留在培养环境之中,持续影响细胞。如图4所示,需要两次清洗的循环才能完全除去测试物。结果表明,IMOLA-IVD装置的灌流系统和传感器的在整个测量过程之中工作正常。因此可得出结论,传感器是精确稳定的,振幅变化对应于注入的PBS渗透压的变化。

Control Experiments

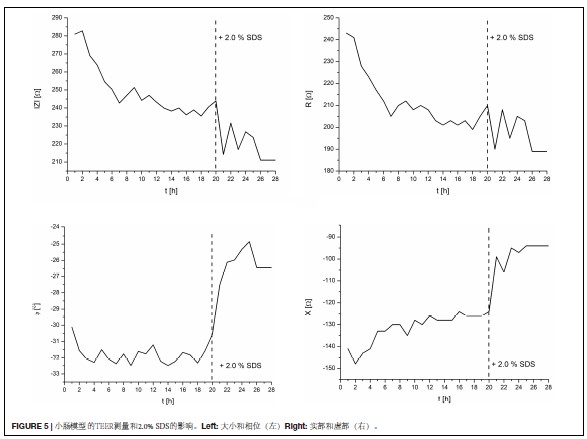
为了验证该设置,在一个IMOLA上设计了一个带有正负对照的测试实验。在不添加任何物质的情况下监测小肠组织的TEER值20小时(阴性对照),然后在2.0%SDS的影响下监测20-28小时(阳性对照)。TEER测量每小时进行一次。在每个测量周期中,TEER值可以用PBS测量后期的平台期的平均值来表示,如图4所示。这些平台期的平均值被整合成一个连续的TEER数据图。图5显示了TEER值的大小和相位(左)以及实部和虚部(右)。

TEER值通常只显示大小,但是,为了显示所有的测量值,测量的阻抗在两种常用坐标系中充分显示,即在极坐标下(左)表示大小和相位,在笛卡尔坐标下(右)表示实部和虚部。其数学表达式如公式1所示:

芯片上的小肠:实时监测小肠类器官的跨膜电阻值

Tissue-on-a-Chip Model

Figure 6 加入0.2% SDS 的小肠类器官。经过开始的5小时,TEER达到270Ω的平均值。第8小时加入测试物SDS,TEER迅速上升,随后线性降低,在第18小时降到到225Ω。需要注意的是,SDS不会改变细胞培养基的渗透压浓度。测定的0、0.2和2.0% SDS的培养基的渗透压浓度 (OSMOMAT 030, Gonotec, Berlin, Germany) 基本一致(300±5% mOsmol/kg)。

CONCLUSION

在这里,我们提出了原理证明实验使用三通道微生理测量系统(类器官代谢分析仪IMOLA-IVD系统)测量重建小肠类器官的TEER。参数的测量是非侵入性的、实时的,并且系统定期自动更新培养基。在TEER测量中,培养小室的顶部也注入培养基。PBS和2.0% SDS的验证实验也证实了该测量方法和系统。

8 h后加入测试物(0.2% SDS)后发现TEER呈下降趋势。在未来的工作中,我们建议进行后续实验,使用测试物和微传感器来获取pH值和溶解氧的数据(Wiest et al.,2016)。

总的来说,类器官代谢分析仪IMOLA-IVD系统已被证明是一种灵灵活、可定制的系统,用于分析各种细胞培养物模型,包括贴壁的2D细胞系,3D球状体,以及用于重构人类表皮组织和小肠组织/类器官芯片。未来的工作将包括研究和优化灌流循环(例如,增加测试物质之前的稳定期的时间)和电极几何形状,以及光谱测量信息的收集(Gilbert et al., 2019; van der Helm et al., 2019),以建立一种可用于肺或其他粘液细胞模型的多功能的组织芯片的研究工具。

DATA AVAILABILITY STATEMENT

The datasets generated for this study are available on request to the corresponding author.

AUTHOR CONTRIBUTIONS

All authors listed have made a substantial, direct and intellectual contribution to the work, and approved it for publication.

 
资料格式:

Tissue-on-a-Chip Microphysiometry With Human 3D Models on Transwell Inserts.pdf

查看详细文档

上一篇

PSA如何测量蛋白的变性和复性

下一篇

多个类器官串联共培养在药代动力学和药效学研究中的意义

我的询价